تحليل البيانات
Section outline
-

يعد مقياس تحليل البيانات من وحدات التعليم المنهجية من عروض التكوين في نظام ل م د، يدرس في السداسي الخامس من السنة الثالثة ليسانس قسم علوم اقتصادية، فتحليل البيانات هو عملية منظمة تهدف إلى تطبيق الأساليب الإحصائية لفحص البيانات الخام واستخراج رؤى ومعارف ذات قيمة باستخدام تقنيات حسابية وإحصائية متقدمة، ويهدف إلى دراسة المواضيع الكمية، يساعدنا على اتخاذ قرارات مستنيرة وتحسين العمليات وتطوير الأعمال، حيث تتضمن العملية جمع البيانات، تنقيتها، تحليلها باستخدام أدوات وتقنيات مثل التحليل الإحصائي والنماذج التنبؤية، ثم عرض النتائج بشكل واضح لدعم عملية اتخاذ القرار
-
1- معلومات حول المقياس: Information sur le cours
الجامعة
الجيلالي بونعامة بخميس مليانـــــــــة.
الكلية
كلية العلوم الاقتصادية والتجارية وعلوم التسيير.
القسم
علوم اقتصادية
المستوى
السنة الثالثة.
المقياس المقرر
تحليل البيانات
وحدة التعليم
المنهجية.
نوع الدرس
محاضرة + أعمال موجهة.
السداسي
الخامس
المعامل
02.
الرصيد
04.
الحجم الساعي
15 أسبوع في السداسي الثالث حوالي 45 ساعة
الحجم الساعي في الأسبوع
3 ساعات
المحاضرة
ساعة ونصف
الأعمال الموجهة
ساعة ونصف
نافذة التواصل
البريد الإلكتروني
يتم الرد على جميع انشغالاتكم حول المحاضرة أو الأعمال الموجهة عبر البريد الإلكتروني المهني في آجال لا تفوق 48 ساعة
-
للنجاح في هذه المادة، يجب الحصول على درجة أكبر من أو تساوي 10 من 20. إذا لم يكن ذلك ممكنًا، يمكنك التقدم لامتحان الدورة الاستدراكية، حيث يتم حساب درجة الدورة من خلال امتحان الدورة الاعتيادي الذي يمثل 60%، ونقطة العمل الموجه التي تمثل 40%.

-

معلومات الاتصال:
الاستاذة: بن فريحة نجاة
الجامعة: جامعة الجيلالي بونعامة، خميس مليانة
الكلية: كلية العلوم الاقتصادية والتجارية وعلوم التسيير
القسم: قسم العلوم الاقتصادية
البريد الالكتروني: nadjet.benfreiha@univ-dbkm.dz
يتم الرد على جميع انشغالاتكم حول المحاضرة أو الأعمال الموجهة عبر البريد الإلكتروني المهني في آجال لا تفوق 48 ساعة.
-
-

تم تصميم هذه المساحة لتبادل المعلومات بين الطلاب
-
هذه المساحة مخصصة للتواصل السمعي البصري بين الأستاذ والطلاب
-
-

في نهاية هذا المقياس يجب أن يكون الطالب قادر على التحديد والتفسير والمناقشة والاستنتاج، فالأهداف المرجوة من هذا المقياس تتمثل فيما يلي:
· التعرف على ماهية تحليل البيانات.
· فهم أساسيات تحليل البيانات: تعريف الطالب بالمفاهيم الأساسية والتقنيات المستخدمة في تحليل البيانات، بما في ذلك أنواع البيانات، طرق التحليل، وأهمية تحليل البيانات في اتخاذ القرارات.
· تطوير المهارات التقنية: تعزيز مهارات الطلاب في تطبيق تقنيات تحليل البيانات AFD CA MAFC AFC ACP، بالاعتماد على البرمجيات الإحصائية، مثل: SPSS.
· تطبيق المعرفة: تمكين الطلاب من تطبيق تقنيات التحليل على بيانات حقيقية، لحل مشكلات الواقع
· تحديد الأساليب الكمية المستعملة في معالجة البيانات والتعامل مع المصفوفات.
من خلال هذا المقياس سنحاول تقديم تحليل البيانات، بأسلوب مبسط وواضح، حيث: عند الانتهاء من هذا المحور سيكون الطالب ملما بأهداف المحور بناءا على مستويات بلوم المعرفية:
1. مستوى المعرفة والتذكر: الطلاب في هذا المستوى يستعيدون المعلومات من الذاكرة (المكتسبات القبلية)، حيث يقوم الطلاب بحفظ التعريفات المرتبطة بموضوع الجبر الخطي والإحصاء الوصفي، وإكسابه المهارات اللازمة التي تمكنه من استخدام الطرق الأمثل التحليل والتي تساعده على عرض البيانات ، ويتم إعطاء الطالب أسئلة اختيار متعددة، ويطلب منه الإجابة عليها كما يمكن إعطائهم أسئلة ملء الفارغات، هدفها استحضار ما لديه من مكتسبات قبلية تتعلق تحليل البيانات.
2. مستوى الاستيعاب والفهم: يقوم الطالب بتوضيح الخصائص الأساسية التي تسمح له باستعراض مختلف المتغيرات والمفاهيم بالمقياس، وهنا يعطى الطالب بعض الأسئلة المتنوعة انطلاقا مما تم الاستفادة منه وفهمه.
3. مستوى التطبيق: يتعرف الطلاب على مختلف المفاهيم المتعلقة بتحليل البيانات ، وتوظيف ذلك على طرق القياس الكمية لمختلف الظواهر الاقتصادية وتفسيرها، وتطلب من الطلاب توضيح المفاهيم من خلال تقديم أمثلة ذات صلة بالواقع والحياة العملية.
4. مستوى التحليل: يقوم الطلاب بالتمييز بين أساليب العمل الإحصائي في الدراسات الميدانية، جعل الطالب يقوم بدراسة البيانات، وتحليلها.
5. مستوى التركيب والإنشاء: يبحث الطلاب عن دور تحليل البيانات في مختلف النشاطات الاقتصادية من خلال الفحص الدقيق، وهنا يقوم الطلاب بالعصف الذهني لإيجاد أسباب المشكلة وكيفية الحل انطلاقا مما استفاد منه من المحاضرات المقدمة.
6. مستوى التقويم: يقوم الطالب بدراسة المصفوفات بكل خواصها بناء على المصادر والأدوات المتاحة له، وكذا التطبيقات الخطية عليها والتحاليل، فنضع تمرين نهائي يحدد فيه مختلف العمليات حول ما تم التطرق اليه في المحاضرات.
-

تتطلب هذه المادة معارف مسبقة من الطالب حول:
مفهوم الجبر الخطي والإحصاء الوصفي والطرق الأساسية للعدد بالإضافة إلى إلمامه الجيد بالجانب الرياضي، كما أن الفهم الجيد للأساليب الكمية والحسابية والرياضية السابقة لهذه المادة، لكي يستطيع الطالب استيعاب هذا المقياس، يجب أن يكون على دراية بـ: الاحصاء والمصفوفات، وهذا ليسهل على الطالب الاستنتاج أو التقدير لحل المشكلات والمساعدة على اتخاذ القرار، كما أنه قد يتوجب على الطالب أن يوسع اهتماماته المعرفية للكشف عن القيمة المضافة مما تعلمه حول دروس تحليل البيانات.
-
ما هو تعريف المصفوفة؟
-

عزيزي الطالب ، هذا الاختبار هو اختبار معرفتك السابقة
-

عزيزي الطالب، إذا لم تتمكن من الإجابة على أسئلة المكتسبات القبلية، أرجو منك مراجعة الملف المضمن لتعزيز معرفتك بتحليل البيانات.
-
-

الخريطة التالية هي شرح لمقياس تحليل البيانات لطلاب السنة الثالثة تخصص اقتصاد وتسيير مؤسسة – علوم اقتصادية

-
عزيزي الطالب، يمكنك الاطلاع على مخطط مقياس تحليل البيانات التفصيلية من خلال الملف التالي:
-
-

تحليل البيانات هي دراسة تتعلق بشكل أساسي بالمصفوفات والجبر الخطي ، تستخدم بشكل أساسي في العديد من مجالات العلوم الاقتصادية وتحليل المعطيات الاحصائية، مقياس تحليل البيانات موجه لطلبة السنة الثالثة ليسانس، تخصص اقتصاد وتسيير مؤسسة قيم العلوم الاقتصادية، وقد تم تقسيمه إلى سبعة محاور إندرجت ضمنها 14 درسا محزئة على 14 أسبوع:
أما المحور الأول فقد تضمن العمليات على جبر المصفوفات وهي بمثابة حجر الأساس للمقياس حيث نناقش به ماهية المصفوفات والعمليات عليها وكذا محدداتها ومقلوبها.
والمحور الثاني فقد تضمن التطبيقات الخطية والقيم الذاتية من خلال تقديم مفاهيم عامة حول مشكلة القيم الذاتية للمصفوفات ثم التطرق إلى تحديد القيم الذاتية والأشعة الذاتية للمصفوفة.
بالنسبة للمحور الثالث فقد تضمن التحليل بالمركبات ألأساسية ACP ، وهو تقنية احصائية تهدف إلى تقليل الأبعاد مع الحفاظ على أكبر قدر ممكن من التباين، وذلك من خلال تحويل مجموعة من المتغيرات المترابطة فيما بينها إلى مجموعة من التغيرات غير المرتبطة.
وسنتطرق في المحور الرابع إلى التحليل العاملي بالتوفيقاتAFC ، وهو تقنية إحصائية تستخدم لتحليل البيانات النوعية الفئوية، تعتمد على تحليل الجداول المتقاطعة وتساعد في فهم العلاقة بين الفئات.
ومن خلال المحور الخامس سنتعرف على التحليل العاملي بالتوفيقات المتعدد MAFC، هو أسلوب إحصائي يهدف إلى اختزال عدد المتغيرات المعقدة في مجموعة بيانات إلى عدد أقل من العوامل أو المكونات المستقلة التي يمكن تفسيرها بسهولة، مع الحفاظ على قدر كبير من المعلومات الأصلية.
ومن خلال المحور السادس سنتعرف على التحليل العنقودي CA هو أسلوب إحصائي يستخدم لتجميع نقاط البيانات المتشابهة معًا في مجموعات تسمى "عناقيد"، بحيث تكون العناصر داخل العنقود الواحد متجانسة فيما بينها ومختلفة عن عناصر العناقيد الأخرى.
أما المحور السابع والأخير فسنتعرف من خلاله على: التحليل التمييزي AFD وتقنية إحصائية متعددة المتغيرات تستخدم لتحليل البيانات المعقدة، حيث يجمع بين التحليل العاملي لتقليل الأبعاد وكشف المتغيرات الأساسية والتحليل التمييزي لتصنيف العناصر والملاحظات في مجموعات محددة مسبقا.
-

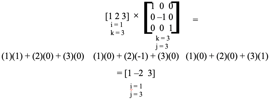
تتضمن العمليات الأساسية في جبر المصفوفات الجمع والطرح والضرب القياسي، بالإضافة إلى ضرب المصفوفات، ونقل المصفوفة، وإيجاد معكوسها، وهي عمليات تستخدم لتحليل الأنظمة الخطية بكفاءة في مجالات مثل الهندسة والعلوم الحاسوبية. تتطلب عمليات الجمع والطرح أن تكون المصفوفتان من نفس الرتبة، بينما يلزم في ضرب المصفوفات أن يكون عدد أعمدة المصفوفة الأولى مساويا لعدد صفوف المصفوفة الثانية.

من خلال هذا الفصل سنحاول تقديم العمليات على جبر المصفوفات، بأسلوب مبسط وواضح، حيث: عند الانتهاء من هذا المحور سيكون الطالب ملما بأهداف المحور بناءا على مستويات بلوم المعرفية:
1. مستوى المعرفة والتذكر: الطلاب في هذا المستوى يستعيدون المعلومات من الذاكرة (المكتسبات القبلية)، حيث يقوم الطلاب بحفظ التعريفات المرتبطة العمليات على المصفوفات، وإكسابه المهارات اللازمة ويتم إعطاء الطالب أسئلة اختيار متعددة، ويطلب منه الإجابة عليها.
2. مستوى الاستيعاب والفهم: يقوم الطالب بتوضيح الخصائص الأساسية التي تسمح له باستعراض مختلف النظريات والمفاهيم بالمحور، وهنا يعطى الطالب بعض الأسئلة المتنوعة انطلاقا مما تم الاستفادة منه وفهمه للدرس.
3. مستوى التطبيق: يتعرف الطلاب على مختلف المفاهيم المتعلقة بالعمليات على جبر المصفوفات، وتوظيف ذلك على طرق القياس الكمية لمختلف الظواهر الاقتصادية وتفسيرها، وتطلب من الطلاب توضيح المفاهيم من خلال تقديم أمثلة ذات صلة بالواقع والحياة العملية.
4. مستوى التحليل: يقوم الطلاب بالتمييز بين أساليب العمل الميدانية، جعل الطالب يقوم بدراسة أهم طرق النشر.
5. مستوى التركيب والإنشاء: يبحث الطلاب عن دور المصفوفات في مختلف النشاطات الاقتصادية من خلال الفحص الدقيق، وهنا يقوم الطلاب بالعصف الذهني لإيجاد أسباب المشكلة وكيفية الحل انطلاقا مما استفاد منه من المحاضرات المقدمة.
6. مستوى التقويم: يقوم الطالب بدراسة مفاهيم العمليات على جبر المصفوفات، بناء على المصادر والأدوات المتاحة له وقياسها، فنضع تمرين نهائي يحدد فيه مختلف العمليات حول المحور.
-
المصفوفة (Matrix) هي بنية منظمة لمجموعة من العناصر (أرقام، رموز، أو بيانات) مرتبة في صفوف وأعمدة، تستخدم في الرياضيات والحاسوب لتمثيل البيانات وحل المسائل المعقدة، مثل المعادلات الخطية والتطبيقات الهندسية والفيزيائية والاقتصادية.
-
هذا المنتدى مكرس لمناقشة الطلاب حول المحور الأول.

-
عزيزي الطالب قم بتحميل الملف أعلاه وقراءته جيداً.

-
حاول عزيزي الطالب حل تمارين الحل، وإذا لم تتمكن من ذلك عليك إعادة قراءة الدرس وتطبيق الأمثلة.
-
عزيزي الطالب، يمكنك الاستعانة بالمقطع التوضيحي التالي لدعم معلوماتك.
-
عزيزي الطالب يمكنك أيضًا الاطلاع على الملف لمزيد من المعلومات
-
-

التطبيقات الخطية هي التحويلات التي تحافظ على البنية الرياضية للفضاءات المتجهية، بينما تُعد القيم الذاتية أعداداً قياسية خاصة تُحسب من المصفوفات المربعة وتمثل مقياس تمدد أو انكماش المتجهات الذاتية، وهي متجهات لا يتغير اتجاهها.

الهدف من دراسة التطبيقات الخطية والقيم الذاتية هو فهم وتحليل السلوك الأساسي للأنظمة المعقدة في مجالات مثل الهندسة، العلوم،.... تساعد هذه المفاهيم في تبسيط البيانات المعقدة، تحديد الاتجاهات الهامة، وتقليل الأبعاد.
-
-
هذا المنتدى مخصص لمناقشة الطلاب حول المحور الثاني .

-
-
عزيزي الطالب قم بحل تمارين السلسلة وإن تعذر عليك ذلك فعليك بإعادة قراءة الدرس وتطبيق الأمثلة.

-
عزيزي الطالب
إليكم بعض الأسئلة حول المحور الثاني من مقياس تحليل البيانات.
-
عزيزي الطالب يمكنك الاستعانة بالمقطع التوضيحي التالي لدعم معلوماتك
-
-

تحليل المكونات الرئيسية (PCA) هو تقنية لتقليل عدد الأبعاد في مجموعات البيانات الكبيرة إلى مكونات رئيسية تحتفظ بمعظم المعلومات الأصلية. ويتم تحليل PCA ذلك عن طريق تحويل المتغيرات التي يُحتمل أن تكون مترابطة إلى مجموعة أصغر من المتغيرات، تُسمَّى المكونات الرئيسية.

يهدف إلى تقليل الأبعاد مع الحفاظ على أكبر قدر ممكن من التباين، وذلك من خلال تحويل مجموعة من المتغيرات المترابطة فيها بينها إلى مجموعة من المتغيرات الجديدة غير المترابطة، تعرف بالمركبات الأساسية.
-
-
هذا المنتدى مخصص لمناقشة الطلاب حول المحور الثالث.

-
-
عزيزي الطالب، حاول حل التمارين. إن لم تستطع، فعليك إعادة قراءة الدرس وتطبيق الأمثلة.

-
عزيزي الطالب يمكنك الاستعانة بالمقطع التوضيحي التالي لدعم معلوماتك
-
-
التحليل العاملي بالتوفيقات (AFC) هو أسلوب إحصائي يهدف إلى تبسيط مصفوفة الارتباطات بين متغيرات متعددة من خلال تحديد عدد أقل من العوامل المشتركة الكامنة التي تفسر العلاقات بين هذه المتغيرات. يُستخدم هذا الأسلوب للكشف عن الهياكل الخفية في البيانات وتجميع المتغيرات المتشابهة في مجموعات.

ويعمل على:
الكشف عن العوامل: يهدف التحليل العاملي إلى تحديد العوامل الأساسية (المتغيرات الكامنة) التي تشترك في التأثير على مجموعة من المتغيرات الملاحظة.
تفسير الارتباطات: يقوم بتحليل مصفوفة الارتباطات بين المتغيرات لتحديد المتغيرات التي ترتبط ارتباطًا وثيقًا ببعضها البعض، ثم تجميعها في عوامل مشتركة.
تبسيط البيانات: يقلل من عدد المتغيرات من خلال تجميعها في عوامل قليلة، مما يسهل عملية التفسير واتخاذ القرارات.
-
-
هذا المنتدى مخصص لمناقشة الطلاب حول المحور الرابع.

-
-
عزيزي الطالب، حاول حل التمارين. إن لم تستطع، فعليك إعادة قراءة الدرس وتطبيق الأمثلة.

-
-
عزيزي الطالب يمكنك الاستعانة بالمقطع التوضيحي التالي لدعم معلوماتك
-
-
التحليل العاملي بالتوفيقات المتعددة هو نهج إحصائي لتحليل بيانات الارتباط بين مجموعة من المتغيرات بهدف تبسيطها إلى عدد أقل من العوامل الأساسية غير المرصودة. أما المصفوفة فهي بنية رياضية تُستخدم لتمثيل البيانات وتنظيمها، وفي هذا التحليل تُستخدم مصفوفة الارتباط (معاملات التوفيق) لتمثيل العلاقة بين المتغيرات.

الهدف: تبسيط وتحليل البيانات متعددة الأبعاد من خلال اكتشاف الهياكل الأساسية المكونة من عدد أقل من العوامل.
البيانات: يستخدم بيانات مستمدة من فرد واحد (مثل السلوك عبر فترات متعددة) أو من مجموعات من المتغيرات.
يستخدم في تحليل الارتباطات (correlation) بين المتغيرات لاستكشاف العوامل الكامنة التي تفسر هذه الارتباطات.
-
-
هذا المنتدى مخصص لمناقشة الطلاب حول المحور الخامس.

-
عزيزي الطالب قم برفع الملف أعلاه وإقرأه جيدا.

-
عزيزي الطالب، حاول حل التمارين. إن لم تستطع، فعليك إعادة قراءة الدرس وتطبيق الأمثلة.

-
عزيزي الطالب يمكنك الاستعانة بالمقطع التوضيحي التالي لدعم معلوماتك
-
-
التحليل العنقودي هو أسلوب إحصائي يُستخدم لتجميع البيانات في مجموعات (عناقيد) متجانسة بحيث تكون العناصر داخل كل مجموعة متشابهة، وتكون المجموعات نفسها متباينة عن بعضها. يُعنى هذا النوع من التحليل بتجميع عناصر البيانات بناءً على خصائصها المشتركة، وليس بناءً على تصنيف مُسبق لها. المصفوفة في هذا السياق تمثل مجموعة البيانات التي تُجرى عليها عملية التجميع، حيث يُمكن أن تكون صفوفها تمثل ملاحظات (مثل المستهلكين أو أنواع الحليب) وأعمدتها تمثل خصائص أو متغيرات

الهدف الرئيسي: تصنيف البيانات أو الكائنات إلى مجموعات (عناقيد) بحيث يكون العناصر داخل العنقود الواحد متشابهة في خصائصها، وبعيدة عن العناصر في العناقيد الأخرى.
دور المصفوفة في التحليل العنقودي
مصفوفة البيانات: تمثل المصفوفة البيانات الأولية التي يتم تحليلها. كل صف في المصفوفة يمثل عنصراً واحداً (وحدة أو ملاحظة)، وكل عمود يمثل متغيراً أو خاصية تميز هذا العنصر.
مصفوفة التقارب: بعد حساب التشابه أو الاختلاف بين كل عنصر والآخر، يتم إنشاء مصفوفة التقارب أو المسافة (Distance Matrix). هذه المصفوفة تُظهر مدى قرب أو بعد كل عنصر عن العناصر الأخرى، وهي أساس عملية التحليل العنقودي.
طرق التحليل: تعتمد طرق التحليل على هذه المصفوفة لتجميع العناصر. على سبيل المثال، في "التحليل العنقودي الهرمي"، تبدأ العملية من مصفوفة المسافات لبناء التسلسل الهرمي للعناقيد.




